Zkouška Töpfer 12.1.2026
1. (10 bodů) Na vstupu jsou zadána dvě pole a a b, jejichž prvky
jsou čísla (ne nutně celá),
nejsou nijak uspořádány,
ovšem mohou se libovolně opakovat.
Sestrojte pole c, které bude obsahovat právě ty prvky,
které se buďto v
avyskytují vícekrát než vbnebo se v
bvyskytují vícekrát než vapřičemž počet výskytů každého takového prvku ve výsledném poli
cje roven absolutní hodnotě rozdílu počtu jeho výskytů v políchaab.
Navrhněte postup, jak správně vyřešit úlohu s co nejlepší časovou a prostorovou složitostí (měřeno nejhorším případem) vzhledem k délce vstupních polí.
(a) Popište algoritmus (včetně datových struktur, které případně budete používat). Programový kód není povinný, slovní vysvětlení zvoleného postupu řešení naopak povinné je. Nepoužívejte prosím žádné netriviální datové struktury (jako jsou např. datové typy dictionary či set v jazyce Python), jejichž algoritmus sami nepopíšete a neodvodíte jeho časovou složitost.
(b) Zdůvodněte správnost algoritmu.
(c) Odvoďte časovou a prostorovou složitost (v nejhorším případě).
Příklad:
vstup: [2,8,5,8,0,0,7,2,0,20] [10,8,20,0,2,2,10,7]
výstup: [10,10,8,5,0,0]
Poznámka: Pořadí na výstupu může být zcela libovolné, tedy i jiné než v uvedeném příkladě.
2. (10 bodů) Je zadán strom logického výrazu,
tj. binární strom, v jehož vnitřních vrcholech jsou uloženy operátory and, or či not (jako hodnoty typu string)
a v listech logické hodnoty True, False (tj. hodnoty typu bool),
a logická hodnota h (která nabývá hodnoty True či False). Navrhněte efektivní algoritmus, který vrátí
maximální výšku podstromu, který reprezentuje podvýraz o zadané hodnotě h
nebo hodnotu None, pokud žádný takový podstrom neexistuje.
Podstrom reprezentující podvýraz je jednoznačně určen svým kořenem, obsahuje tedy všechny následníky kořene z původního stromu a hrany do nich vedoucí. Vrchol stromu, v němž je uložen operátor not, má vždy jediné dítě; můžeme předpokládat, že vždy půjde o levé dítě.
(a) Svoje řešení zapište jako funkci v Pythonu, využijte k tomu definici třídy pro vrchol binárního stromu i hlavičku funkce uvedené níže a váš kód prosím opatřete komentáři,
(b) zdůvodněte správnost,
(c) odvoďte časovou složitost (jako funkci počtu vrcholů n zadaného stromu) metodou nejhoršího případu.
class VrcholBinStromu:
"""třída pro reprezentaci vrcholu binárního stromu"""
def __init__(self, data = None, levy = None, pravy = None):
self.levy = levy # levé dítě
self.pravy = pravy # pravé dítě
self.data = data # hodnoty (operátory či operandy) uložené ve vrcholech
def vyska(koren: VrcholBinStromu, h: bool):
"""
koren : kořen zadaného binárního stromu
h : True či False
vrátí : maximální výšku podstromu reprezentujícího podvýraz, který se vyhodnotí na hodnotu h
"""
Poznámka: Definici třídy ani hlavičku funkce prosím neměňte, můžete si ovšem definovat vlastní pomocnou funkci (funkce) dle potřeby.
Příklad: vstup:
, True
(opravdu to tak bylo zadané, v této grafické podobě. Obrázek stromu a vedle hodnota, na kterou se ten hledaný podstrom má vyhodnotit, tedy True)
výstup: 2
zdůvodnění: Podstrom zakořeněný v nejlevějším vnoučeti kořene má výšku 2 a reprezentuje podvýraz o hodnotě True. Naopak žádný podstrom reprezentující podvýraz o hodnotě True o výšce alespoň 3 ve stromě není.
3. Odpovězte na otázky..
(a) (5 bodů) Prvek posloupnosti délky n nazveme kvazimediánem, pokud leží v uspořádané posloupnosti na k-tém místě, kde n/10 ≤ k ≤ 9n/10 . Dokažte nebo vyvraťte následující tvrzení:
Kdyby se nám v algoritmu QuickSort podařilo v každém kroku vybrat v čase O(1) jako pivota kvazimedián, algoritmus bude pracovat v nejhorším případě v čase Θ(n log n).
Svoji odpověď zdůvodněte, tj. tvrzení dokažte (pokud platí) či vyvraťte (pokud neplatí).
Poznámka: Ve vaší analýze složitosti můžete předpokládat, že prvky na vstupu jsou po dvou různé.
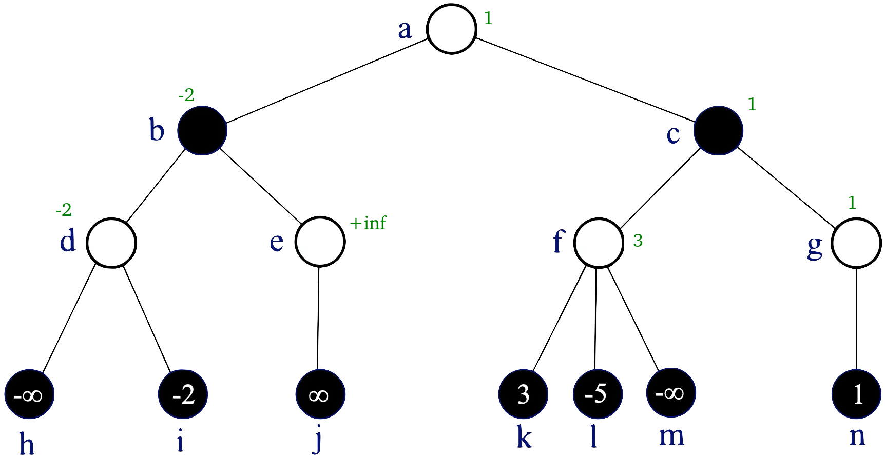
(b) (5 bodů) Strom hry dvou hráčů byl vygenerován do hloubky 3, všechny vrcholy v této hloubce byly ohodnoceny statickou ohodnocovací funkcí a hodnoty zbývajících vrcholů byly spočítány minimaxovým algoritmem. V bílých vrcholech je na tahu hráč maximum, v černých minimum. Výpočet bychom rádi zrychlili metodou alfa-beta prořezávání.

(b1) Jaká bude minimaxová hodnota kořenu stromu? Stačí uvést hodnotu, nemusíte zdůvodňovat.
(b2) V jakém pořadí je třeba procházet strom, abychom se alfa-beta prořezáváním vyhnuli vyhodnocení co nejvíce vrcholů? Pro popis pořadí můžete využít označení vrcholů (a,b,...,n). Kolik vrcholů v takovém případě nemusíme navštívit?
Stačí uvést pořadí vrcholů a počet nenavštívených, nemusíte zdůvodňovat.
(b3) Existuje nějaký průchod stromem, kdy alfa-beta prořezáváním nic neušetříme (tj. pro určení minimaxové hodnoty kořene musíme navštívit a ohodnotit všech 14 vrcholů)? Pokud ano, popište ho, pokud ne, vysvětlete proč.
